CRYSTEK振荡器中相位噪声和抖动的来源
CRYSTEK振荡器中相位噪声和抖动的来源
振荡器的输出信号,无论多么好,都会包含各种不需要的噪声和信号。其中一些不需要的信号是杂散输出频率、谐波和次谐波,仅举几个例子。噪声部分在信号的幅度和相位两者中可以具有随机和/或确定性噪声。在这里,我们将研究其中一些不需要的信号/噪声的主要来源
石英晶体振荡器噪声性能的特征是时域中的抖动和频域中的相位噪声。时域或频域中哪一个是优选的,可能取决于应用。在射频(RF)通信中,相位噪声是优选的,而在数字系统中,抖动是优选的。因此,RF工程师更喜欢处理相位噪声,而数字工程师希望指定抖动。
请注意,相位噪声和抖动是与有噪声振荡器相关联的两个相关量,通常,随着振荡器中相位噪声的增加,抖动也会增加。
说明这一点的最好方法是检查理想信号并破坏它,直到信号开始类似于振荡器的实际输出。
完美或理想的信号
理想信号可以用数学方法描述如下:
A0=标称峰值电压
f0=标称基频
t=时间
该理想信号在频域和时域中的表示如图1所示。
现在,如果我们将一些振幅噪声添加到这个方程中,我们得到:
公式中:ε(t)=振幅与标称值的随机偏差-“AM噪声”
让我们通过在等式2中添加一个随机相位分量来使事情变得更有趣。这给了我们:
公式中:△Φ(t)=相位与标称值的随机偏差-“相位噪声”
新的时域和频域表示如图2所示,而方程3的矢量表示如图3(a和b)所示
事实证明,晶体振荡器的振幅水平通常是饱和的,因此我们可以忽略方程3中的AM噪声。因此,我们可以回过头来将方程简化为:
让我们通过向相位添加确定性分量来进一步扩展我们的方程。我们的方程式现在变成,
其中:md是对载波进行相位调制的确定性信号的振幅,fd是确定性信号的频率。
方程5不能用普通的三角法简化,但可以用第一类贝塞尔函数表示为一系列正弦曲线。然而,这不是我们讨论的必要条件,也超出了本次工作的范围。
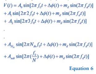
现在想象一下,将所有谐波和任何次谐波添加到我们的信号中。方程可以很快增长,如下所示:
其中最后一项表示一个子谐波。你可以继续扩展方程并添加杂散输出的项,但我们将到此为止,现在解释振荡器中一些不需要的信号和噪声的来源。
从方程6可以看出,我们有一个非常复杂的信号来自振荡器,具有随机和确定性的相位变化、谐波和次谐波等。所有这些信号和噪声源来自哪里?
随机噪声源
随机分量由但不限于三个主要的噪声源贡献。这些是:
1,“热噪声”——由热搅动引起的电子布朗运动引起的kTB噪声。它随着温度、带宽和抗噪声性的增加而增加。
2,“散粒噪声”-由穿过pn结势垒的不连续电流(空穴和电子)引起
3,“闪烁噪声”-与1/f频谱相关的噪声,存在于所有有源器件以及碳电阻器等一些无源元件中。
振荡器的闭合相位噪声与决定谐振腔Q的频率成正比。谐振腔Q越高,闭合相位噪声越低。远噪声(本底噪声)来自振荡器中所有电路的所有贡献。我们称之为白噪音。
确定性来源
确定性成分可以来自但不限于以下四个来源。(有关真实振荡器的典型输出频谱的一般表示,请参见图4。)
1,电源馈通(嗡嗡声)-如果电源不干净,其上的任何信号都可能进入振荡器的反馈路径,并可能对输出频率或载波进行相位调制。
2,杂散信号-振荡器被设计为只有一个反馈路径来产生所需的输出信号。然而,现实是存在许多这样的反馈路径,从而在许多不同的频率和振幅下产生杂散振荡。
3,石英晶体谐振器谐振-在基于石英晶体谐振器的振荡器中,晶体控制的杂散输出可能由未使用的晶体响应/谐振之一引起。例如,最强的响应被称为基波,每个石英晶体中都存在奇数泛音响应(即第三、第五、第七等)和其他所谓的杂散。振荡器可以激励其中的一些,从而在输出信号中产生确定性分量。
4,次谐波-次谐波是输出频率的精确分数。通过某种类型的倍频从低频源导出的振荡器输出信号将具有至少一个子谐波。次谐波将直接导致输出信号的确定性抖动以及谐波失真。
谐波源谐波-可以由振荡器电路中任何组件的非线性产生,但通常最强的贡献者是信号必须通过的任何pn结。非常远的谐波,例如11次谐波,可以通过落入IF或接收频带而使接收器去敏感。如果振荡器的信号输出要从正弦波转换为方波,谐波失真可能是一个问题。
结论
振荡器的输出并不完美。系统工程师必须进行尽职调查,以正确指定和验证振荡器的性能。此外,该系统本身可以容易地用传导或辐射信号破坏振荡器。正如经验丰富的射频工程师所知,最好一开始就不要创建/生成任何不需要的信号,而不是在信号生成后以某种方式对其进行过滤。
术语汇编
确定性抖动(DJ)-具有非高斯概率密度函数的可预测抖动(PDF)。
确定性抖动总是在幅度和特定原因(例如,符号间干扰(ISI)、占空比失真(DCD)、晶体振荡器的次谐波等)方面受到限制
相位噪声-最广泛用于描述频率稳定性的特征随机性的术语。频谱纯度-信号功率与相位噪声边带功率之比。
随机抖动(RJ)-无界抖动,可以用高斯概率密度函数(PDF)来描述。
热噪声-导体中电子的热搅动产生的噪声。
噪声功率量化为
其中K是玻尔兹曼常数=1.38x10-23(J/K)
T是绝对温度,单位为°K
Δf=B是测量系统的噪声带宽。
原厂代码
瑞斯克晶振
型号
类型
频率
CCPD-033-50-100.000
Crystek晶振
CCPD-033
XO (Standard)
100MHz
CCPD-033-50-156.250
Crystek晶振
CCPD-033
XO (Standard)
156.25MHz
CCPD-033-50-161.1328
Crystek晶振
CCPD-033
XO (Standard)
161.1328MHz
CCPD-034-50-200.000
Crystek晶振
CCPD-034
XO (Standard)
200MHz
CCHD-575-50-100.000
Crystek晶振
CCHD-575
XO (Standard)
100MHz
CCHD-575-50-80.000
Crystek晶振
CCHD-575
XO (Standard)
80MHz
CCPD-033-50-77.760
Crystek晶振
CCPD-033
XO (Standard)
77.76MHz
CCPD-033-50-106.250
Crystek晶振
CCPD-033
XO (Standard)
106.25MHz
CCHD-575-25-24.576
Crystek晶振
CCHD-575
XO (Standard)
24.576MHz
CCHD-950-50-45.1584
Crystek晶振
CCHD-950
XO (Standard)
45.1584MHz
CCHD-950-50-80.000
Crystek晶振
CCHD-950
XO (Standard)
80MHz
CCHD-957-25-22.5792
Crystek晶振
CCHD-957
XO (Standard)
22.5792MHz
CCHD-950-50-100.000
Crystek晶振
CCHD-950
XO (Standard)
100MHz
CCPD-575X-20-100.000
进口晶振
CCPD-575
XO (Standard)
100MHz
CCHD-575-25-22.5792
Crystek晶振
CCHD-575
XO (Standard)
22.5792MHz
CCHD-575-50-125.000
Crystek晶振
CCHD-575
XO (Standard)
125MHz
CCHD-950-50-49.152
Crystek晶振
CCHD-950
XO (Standard)
49.152MHz
CCPD-575X-20-80.000
Crystek晶振
CCPD-575
XO (Standard)
80MHz
CCHD-957-25-24.576
Crystek晶振
CCHD-957
XO (Standard)
24.576MHz
CCHD-957-25-45.1584
Crystek晶振
CCHD-957
XO (Standard)
45.1584MHz
CCHD-957-25-49.152
Crystek晶振
CCHD-957
XO (Standard)
49.152MHz
CCPD-575X-20-125.000
Crystek晶振
CCPD-575
XO (Standard)
125MHz
CCPD-033X-50-77.760
Crystek晶振
CCPD-033
XO (Standard)
77.76MHz
CCPD-033X-25-77.76
Crystek晶振
CCPD-033
XO (Standard)
77.76MHz
CCPD-033X-50-100.00
Crystek晶振
CCPD-033
XO (Standard)
100MHz
CCPD-033-50-125.000
Crystek晶振
CCPD-033
XO (Standard)
125MHz
CCPD-033X-25-100
Crystek晶振
CCPD-033
XO (Standard)
100MHz
“推荐阅读”
相关技术支持
- Golledge探索便携式电子产品微型GXO-3306L振荡器的发展
- Fortiming晶体谐振器XCS21-26M000-1E10C10的基本技术
- ECS用于汽车应用的可靠电子元件ECS-250-18-33Q-DS
- ECS人工智能的时机应用晶振ECS-TXO-20CSMV
- Rubyquartz嵌入式世界的COMs、sip和SOMs晶振CO2520-12.800-25-50-TR
- Cardinal振荡器CPPC7L-B6-40.0TS抖动的产生及重要性
- ConnorWinfield时间和频率解决方案
- SiTime振荡器TCXO和OCXO稳定性下降SiT1533AI-H4-D14-32.768S
- SUNTSU松图晶振应用笔记SXT32411BA17-19.200M
- Abracon适合低功耗ASADV-20MHz-LK-T应用的SPXO
泰河盛微信号
在线留言
收藏网站
网站地图
手机版
全球咨询热线:










快速通道